概念:土钉支护是由密集的土钉群、被加固的土体、喷射混凝土面层组成,形成一个复合的、能自稳的、类似于重力式挡墙的挡土结构,以此来抵抗墙后传来的土压力和其它作用力,从而使开挖基坑或边坡稳定










当按设计原则与设计要求完成设计后,需要进行如下的验算:
土钉抗拉承载力的验算
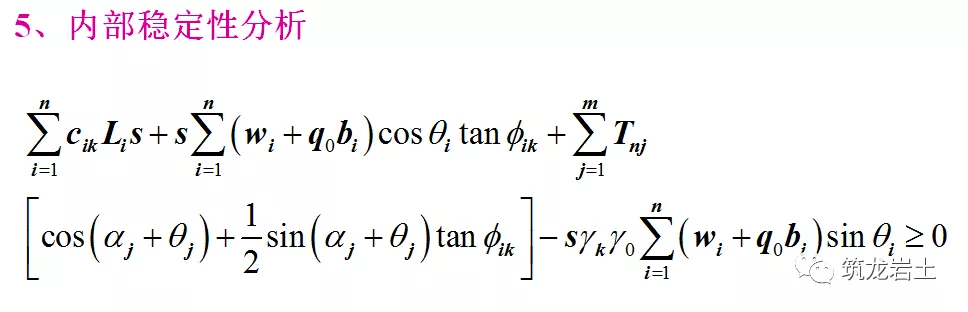
内部稳定性验算
外部稳定性验算
喷射混凝土面层的验算









复合土钉墙支护,即是将土钉墙与其他支护技术有机结合的复合支护体系,是一种改进或加强型土钉墙。

1) 除使用钻孔注浆的土钉外,常常使用新型预应力土钉、二次注浆土钉等2) 复合土钉墙中锚杆的抗拉荷载不宜过大,一般小于300kN,面层上锚杆位置一般设置连梁。4) 微型桩一般使用100~300mm的钻孔灌注桩、钢管桩、型钢桩等,常嵌入坑底以下2~3m处。




















